发烧论坛

注册

 

返回列表 «2021222324252627» / 33
发新话题 回复该主题

我的LP播放系统和LP乐趣 [复制链接]

查看: 67401|回复: 321
231#

回复: 我的LP播放系统和LP乐趣

想用歌声融入上海

奚秀兰新春来沪看望老朋友
想用歌声融入上海.jpg (, 下载次数:58)

想用歌声融入上海(2007/7/14 0:59:02 上传)

想用歌声融入上海.jpg

奚秀兰新春来沪看望老朋友.jpg (, 下载次数:25)

奚秀兰新春来沪看望老朋友(2007/7/14 0:59:02 上传)

奚秀兰新春来沪看望老朋友.jpg

最愛奚秀蘭並因奚秀蘭而發燒
我發表的以奚秀蘭爲主題的重要帖子的鏈結:http://post.baidu.com/f?kw=%DE%C9%D0%E3%C0%BC
TOP
232#

回复:我的LP播放系统和LP乐趣

想用歌声融入上海!!!

这是前几年的说法,如今,即将在上海大舞台举行她入行四十年来的首次上海个人演唱会。
最愛奚秀蘭並因奚秀蘭而發燒
我發表的以奚秀蘭爲主題的重要帖子的鏈結:http://post.baidu.com/f?kw=%DE%C9%D0%E3%C0%BC
TOP
233#

回复:我的LP播放系统和LP乐趣

睇到溪兄收藏左更多溪姐的靓蝶,睇到溪姐既靓甫士,我都隐吾住,得闲去买翻张翻来听听先得,睇下合吾合我口味。
TOP
234#

回复:我的LP播放系统和LP乐趣

虽然我身处两广,却不谙熟粤语,不懂,最好说国语!
最后编辑溪秀兰 最后编辑于 2007-07-14 01:24:09
最愛奚秀蘭並因奚秀蘭而發燒
我發表的以奚秀蘭爲主題的重要帖子的鏈結:http://post.baidu.com/f?kw=%DE%C9%D0%E3%C0%BC
TOP
235#

回复: 我的LP播放系统和LP乐趣

邓丽君曾向她讨教如何出嫁——奚秀兰披露当年从舞台消失之谜
奚秀兰披露当年从舞台消失之谜.jpg (, 下载次数:76)

奚秀兰披露当年从舞台消失之谜(2007/7/14 2:02:20 上传)

奚秀兰披露当年从舞台消失之谜.jpg

最愛奚秀蘭並因奚秀蘭而發燒
我發表的以奚秀蘭爲主題的重要帖子的鏈結:http://post.baidu.com/f?kw=%DE%C9%D0%E3%C0%BC
TOP
236#

回复: 我的LP播放系统和LP乐趣

原帖由 溪秀兰 于 2006-2-17 3:46:00 发表
HiFi乐趣和阅读《圣经》之余,练习练习演奏钢琴。
[upload=jpg]Upload/200621215274394138.jpg[/upload]



经常练习的就是就是这首著名的圣乐《奇异恩典》
[upload=jpg]Upload/200621523514443999.jpg[/uploa......
这是一份四声部合唱谱,应该出现在歌咏者手上,而不是出现于钢琴谱台上。所以这照片极具创意。
TOP
237#

回复: 我的LP播放系统和LP乐趣

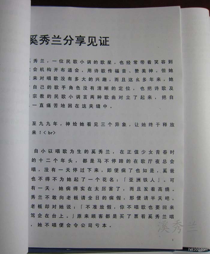
奚秀兰分享见证

“基督是主”
奚秀兰分享见证.jpg (, 下载次数:68)

奚秀兰分享见证(2007/7/14 23:10:16 上传)

奚秀兰分享见证.jpg

“基督是主”.jpg (, 下载次数:55)

“基督是主”(2007/7/14 23:10:16 上传)

“基督是主”.jpg

最愛奚秀蘭並因奚秀蘭而發燒
我發表的以奚秀蘭爲主題的重要帖子的鏈結:http://post.baidu.com/f?kw=%DE%C9%D0%E3%C0%BC
TOP
238#

回复: 我的LP播放系统和LP乐趣

60岁万人体育馆开个唱 对话奚秀兰
60岁万人体育馆开个唱 对话奚秀兰.jpg (, 下载次数:9)

60岁万人体育馆开个唱 对话奚秀兰(2007/7/15 0:02:05 上传)

60岁万人体育馆开个唱  对话奚秀兰.jpg

最愛奚秀蘭並因奚秀蘭而發燒
我發表的以奚秀蘭爲主題的重要帖子的鏈結:http://post.baidu.com/f?kw=%DE%C9%D0%E3%C0%BC
TOP
239#

回复: 我的LP播放系统和LP乐趣

奚秀兰小调歌后芳华依旧
奚秀兰小调歌后芳华依旧.jpg (, 下载次数:9)

奚秀兰小调歌后芳华依旧(2007/7/15 0:03:17 上传)

奚秀兰小调歌后芳华依旧.jpg

最愛奚秀蘭並因奚秀蘭而發燒
我發表的以奚秀蘭爲主題的重要帖子的鏈結:http://post.baidu.com/f?kw=%DE%C9%D0%E3%C0%BC
TOP
240#

回复: 我的LP播放系统和LP乐趣

用歌声唤回流逝的时光 访香港歌星奚秀兰
用歌声唤回流逝的时光.jpg (, 下载次数:11)

用歌声唤回流逝的时光 访香港歌星奚秀兰(2007/7/15 0:04:25 上传)

用歌声唤回流逝的时光.jpg

最愛奚秀蘭並因奚秀蘭而發燒
我發表的以奚秀蘭爲主題的重要帖子的鏈結:http://post.baidu.com/f?kw=%DE%C9%D0%E3%C0%BC
TOP
发新话题 回复该主题